逻辑结构和存储结构区别
逻辑结构和存储结构区别
- 例题1

- 例题2

逻辑结构
你应该知道,数据结构的三要素是:逻辑结构、存储结构、数据运算。
首先我们来回答一个问题:什么是逻辑结构呢?
从定义的角度来说,所谓逻辑结构,指的就是数据之间的逻辑关系,从逻辑关系上来描述数据。逻辑结构又包括线性结构和非线性结构两种,线性表是一种典型的线性结构,图是一种典型的非线性结构,特别注意:逻辑结构与存储结构无关。
看了定义是不是觉得非常混乱?
那么,你觉得什么是逻辑上的关系呢?我们来思考这个问题:”顺序表是逻辑结构吗?“
如果你认为,”线性表是一种 线性 结构,顺序表是属于线性表的,所以,顺序表应该是一种逻辑结构。“
很不幸,这种想法是非常错误的!!!
所以,我们在判断逻辑关系的时候,不要想当然,不要你觉得,应该理性判断。
我们可以认为逻辑结构是一种”依赖关系“,描述的仅仅是数据元素之间的关系,除了描述数据元素之间的关系外,再也没有其他的含义了。
比如,我们回顾刚刚的问题,”顺序表是逻辑结构吗?“
答案:不是。虽然顺序表是一种线性结构,但是你要注意,顺序表背后包含着”顺序存储的意思“。也就是说,顺序表既能够描述逻辑结构,也能够描述物理结构。所以,这是一种混合类型。
再来,”有序表是逻辑结构吗?“
显然,是的。有序表指的是数据元素按照一定顺序排列的线性表,除了描述“两个元素之间有序”的依赖关系以外,它再也没有别的意思了。
所以,你是不是能够体会到逻辑结构的独特之处了?
总结一下,逻辑结构指的就是数据元素之间的关系,这种关系可以是如下的几种:
- 没有关系:一个集合,里面的元素除了同属一个集合以外,没有其他任何关系。很明显,这是一种非线性的关系。
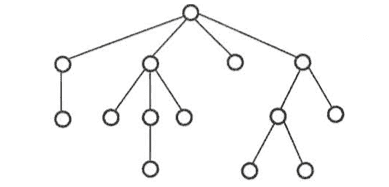
- 一对一:线性结构。线性结构中的元素都是一对一的。你可以简单的把它理解为一个串,仅有一个开端和一个结尾结点,并且除了开端和结尾外,每个结点只能有一个前驱结点和一个后继结点。比如字符串,如图所示:

- 一对多:图或者树就是两种典型的一对多的非线性关系。从图中可以看到,非线性结构的树和图中的结点除了第一个结点和最后一个结点以外,其余结点能够有一个或者多个前驱和后继。

最后,如果让你判断一个名词是否为逻辑结构,我们应该怎么做?可以考虑以下几点:
首先,判断名词是属于线性结构还是非线性结构
其次,由于数据的逻辑结构是独立于存储结构的,所以考虑名词背后是否暗含存储结构?如:顺序表。(别急,关于存储结构,我们马上就讲)如果暗含存储结构,那么一定不是逻辑结构。
存储结构
存储结构就非常好理解了,存储结构,也被称作是物理结构,表述的是含有某种逻辑关系的元素在 计算 机中存储的方式。可以理解为数据元素在存储器上的排列方式。

总的来说,存储结构只有四种,分别是顺序存储、链式存储、索引存储、散列存储(哈希存储)。
顺序存储:所谓顺序存储,就是把逻辑上相邻的数据元素,存储到计算机的存储器上时,在物理上也是相邻的。最简单的实现就是数组,我们可以直接把一列元素存储在数组中。显然,这种实现存储的方式优点是:能够实现随机存取,即通过数组的下标,我们能够很轻松的找到数据元素获取或者修改它。
链式存储:链式存储,就是我们所熟知的链表。我们无需像顺序存储那样,单独开辟一片连续的存储空间,只需要用到的时候直接分配空间,用指针来实现整个一对一逻辑结构的实现。这样子做虽然节省了空间、动态扩容,但是问题也很明显:当你想找到编号为n的元素,只能从表头开始遍历。

索引存储:这种存储方式类似于我们的书和目录的关系。比如书中”第五章“的内容在35页,我们想要找到它,只需要浏览目录,然后通过页码找到相关的内容。一般存储的时候都是【关键字,地址】这种形式。
散列存储:对于散列存储,我们可以设想这样一个场景。博主我买了一套房子(买不起的,别想了.jpg),本来买的时候选中了0322这间,但是由于施工问题,整栋楼是从0000开始编号的(买的时候是按照0001编号),这样就造成了一个问题,现在的0322号已经不是我的了,我的是0321。就是原来的房间号减去1。所以,散列存储实际上就是做了一个函数关系的映射,由x去找y,如果y=x+1,那么x=1的元素就应该去y=2位置寻找。这样理解起来应该没有困难了吧。
回过头来,我们看文章开头的第二个问题:

A选项,循环队列,实际上是用 数组 实现的,也就是顺序存储;B选项,链表,很明显,这是一种链式存储;C选项,哈希表,这已经是明示了——哈希存储;最后一个,栈是一种很重要的逻辑结构,既能够用顺序存储实现也能够由链式存储实现。所以,答案就是D。
存储结构的核心是:只有这四种,再也没有其他的可能了。
逻辑结构和存储结构区别
1.解决GitHub访问不了问题
2.absolute和relative定位
3.display:table-cell在布局上的应用
4.两列布局css
5.Collection集合和Map集合
6.JDK,JRE和JVM






